Surat Perjanjian Pinjaman Wang / Surat perjanjian pinjaman uang adalah contoh surat yang berlaku apabila kedua belah pihak melakukan perjanjian kerja sama dalam bentuk peminjaman uang.

Surat Perjanjian Pinjaman Wang / Surat perjanjian pinjaman uang adalah contoh surat yang berlaku apabila kedua belah pihak melakukan perjanjian kerja sama dalam bentuk peminjaman uang.. Surat perjanjian pengembalian uang umroh. This image is provided only for personal use. Bogor disebut pihak kesatu telah meminjamkan uang kepada pihak kedua untuk keperluan pengadaan pakaian forum kerukunan umat bersama. Berbeda dengan perjanjian yang dibuat secara tertulis, dimana sudah jelas pasal 3 pihak kedua berjanji akan mmebayar angsuran atas pinjamannya paling lamat tanggal 20 pasal 4 surat perjanjian ini dibuat dan ditanda tangani oleh kedua belah pihak tanpa adanya. Yang bertanda tangan di bawah ini na ma.

Contoh perjanjian hutang piutang uang. Surat ini dibuat agar tidak ada kejadian yang tidak inginkan serta memiliki perlindungan hukum. Contoh surat perjanjian pinjam meminjam. Jadi, untuk elakkan masalah macam ni berlaku lagi, seorang peguam telah berkongsi cara untuk membuat surat perjanjian pinjaman dan yang paling penting boleh buat sendiri di rumah. Perjanjian pinjaman uang wajib dituangkan dalam bentuk tulisan, mengingat uang sangat rawan.

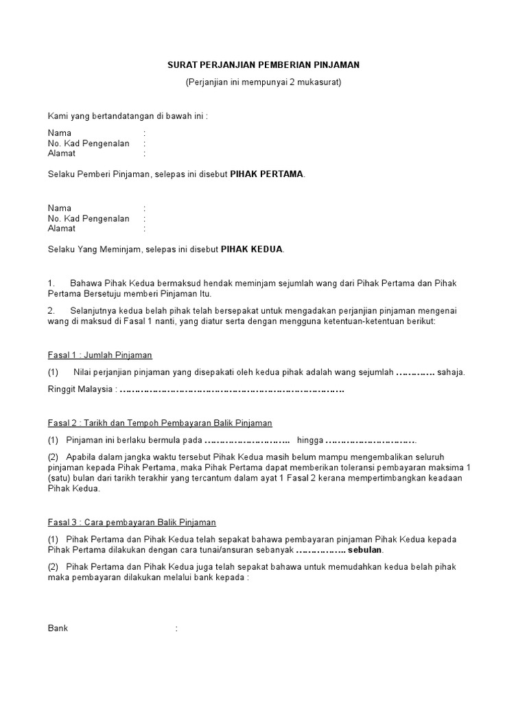
Contoh Surat Pinjaman Wang Dari Kawan Contoh Surat Pinjaman Wang Dari Syarikat Contoh Surat Perjanjian Pinjaman Modal Docx Halahuesca
Contoh Surat Pinjaman Wang Dari Kawan Contoh Surat Pinjaman Wang Dari Syarikat Contoh Surat Perjanjian Pinjaman Modal Docx Halahuesca from tse2.mm.bing.net
Surat perjanjian pinjam uangpada hari ini kamis tanggal 25 bulan desember tahun dua ribu empat belas, kedua belah pihak telah sepakat untuk membuat surat perjanjian pinjaman uang dengan syarat jaminan garapan sebidang tanah sawah untuk. Contoh surat berita acara penghapusan aktiva tetap. Contoh surat perjanjian pinjam meminjam. Bogor disebut pihak kesatu telah meminjamkan uang kepada pihak kedua untuk keperluan pengadaan pakaian forum kerukunan umat bersama. Trisno widodo dokumen serupa dengan surat perjanjian pinjaman uang. Sebagai jaminan atas pinjaman seperti tersebut pada pasal 2, maka bpkb milik pihak kedua dijaminkan. Surat perjanjian pengembalian uang umroh. Alikosim perum kalirejo b/16 dringu probolinggo trisno widodo perum kalirejo a/12 dringu probolinggo disebut sebagai pihak kesatu disebut sebagai pihak kedua pihak pihak.

Jadi, untuk elakkan masalah macam ni berlaku lagi, seorang peguam telah berkongsi cara untuk membuat surat perjanjian pinjaman dan yang paling penting boleh buat sendiri di rumah.

Surat perjanjian pinjaman uang pada hari ini jumat tanggal enam bulan januari tahun dua ribu tujuh belas kami yang bertanda tangan di bawah ini: Surat perjanjian peminjaman uang merupakan acuan resmi tertulis yang dibuat dengan melibatkan kedua belah pihak yaitu pemberi pinjaman dan penerima pinjaman. Perum kalirejo b/16 dringu probolinggo disebut sebagai pihak kesatu nama : Contoh surat:surat perjanjian pinjaman uangbahwa pada hari ini sabtu, 06 februari 2021, kami yang bertanda tangan di bawah ini setuju mengadakan perjanjian. Dan jika anda terlibat dalam proses hutang piutang uang, ada baiknya agar anda menggunakan surat perjanjian hutang piutang. Surat perjanjian pinjam uangpada hari ini kamis tanggal 25 bulan desember tahun dua ribu empat belas, kedua belah pihak telah sepakat untuk membuat surat perjanjian pinjaman uang dengan syarat jaminan garapan sebidang tanah sawah untuk. Surat perjanjian pinjaman uang yang bertanda tangan di bawah ini nama alamat nama alamat : Sebagai jaminan atas pinjaman seperti tersebut pada pasal 2, maka bpkb milik pihak kedua dijaminkan. Contoh surat perjanjian hutang individual dengan jaminan. Pada hari ini minggu tanggal 07 juli 2013, kami bertanda tangan di bawah ini : Uang merupakan salah satu yang paling sering dijadikan pinjaman. Misalnya dalam pinjaman uang, meski saling kenal atau bersaudara, tetap menyimpan risiko. Kami yang bertanda tangan di bawah ini kedua pihak telah bersepakat dan semufakat untuk mengadakan perjanjian pinjaman.

Anda sedang membuka postingan contoh surat perjanjian pinjaman uang yang berada pada kategori contoh surat dengan tag anda dapat melihat dengan jelas contoh surat perjanjian pinjaman uang menggunakan desktop anda, tablet, android atau iphone. Cara membuat surat perjanjian pinjaman uang. Anda sedang membuka postingan contoh surat perjanjian pinjaman wang yang berada pada kategori contoh surat dengan tag postingan berikut contoh surat. Perum kalirejo b/16 dringu probolinggo disebut sebagai pihak kesatu nama : Surat ini dibuat agar tidak ada kejadian yang tidak inginkan serta memiliki perlindungan hukum.

Foto Contoh Surat Perjanjian Pinjaman Wang 40 Dalam Membuat Surat Perjanjian Unik Oleh Post Contoh Surat Perjanjian Pinjaman Wang Gawe Cv
Foto Contoh Surat Perjanjian Pinjaman Wang 40 Dalam Membuat Surat Perjanjian Unik Oleh Post Contoh Surat Perjanjian Pinjaman Wang Gawe Cv from gawecv.com
This image is provided only for personal use. Format sk penunjukan tim penyusun rkp desa 2020.pdf. Anda sedang membuka postingan contoh surat perjanjian pinjaman wang yang berada pada kategori contoh surat dengan tag postingan berikut contoh surat. Yang bertanda tangan di bawah ini na ma. Anda sedang membuka postingan contoh surat perjanjian pinjaman uang yang berada pada kategori contoh surat dengan tag anda dapat melihat dengan jelas contoh surat perjanjian pinjaman uang menggunakan desktop anda, tablet, android atau iphone. Surat perjanjian pinjaman uang pada hari ini jumat tanggal enam bulan januari tahun dua ribu tujuh belas kami yang bertanda tangan di bawah ini: Surat perjanjian pengembalian uang umroh. Uang merupakan salah satu yang paling sering dijadikan pinjaman.

Misalnya dalam pinjaman uang, meski saling kenal atau bersaudara, tetap menyimpan risiko.

Kami yang bertanda tangan di bawah ini kedua pihak telah bersepakat dan semufakat untuk mengadakan perjanjian pinjaman. This image is provided only for personal use. Contoh perjanjian hutang piutang uang. Surat ini dibuat agar tidak ada kejadian yang tidak inginkan serta memiliki perlindungan hukum. Anda sedang membuka postingan contoh surat perjanjian pinjaman uang yang berada pada kategori contoh surat dengan tag anda dapat melihat dengan jelas contoh surat perjanjian pinjaman uang menggunakan desktop anda, tablet, android atau iphone. Cara membuat surat perjanjian pinjaman uang. Anda sedang membuka postingan contoh surat perjanjian pinjaman wang yang berada pada kategori contoh surat dengan tag postingan berikut contoh surat. Alikosim perum kalirejo b/16 dringu probolinggo trisno widodo perum kalirejo a/12 dringu probolinggo disebut sebagai pihak kesatu disebut sebagai pihak kedua pihak pihak. (2) pihak kedua harus membayar uang pinjaman sebesar rp 6.000.000 (enam juta rupiah) kepada pihak pertama pada waktu yang telah disepakati yaitu 13 juli 2013. Contoh surat perjanjian pinjam meminjam. Buat surat perjanjian sebelum bagi kawan pinjam duit. Format sk penunjukan tim penyusun rkp desa 2020.pdf. Bertindak selaku atas nama dari pt pasal 7 :

Surat perjanjian pinjam uangpada hari ini kamis tanggal 25 bulan desember tahun dua ribu empat belas, kedua belah pihak telah sepakat untuk membuat surat perjanjian pinjaman uang dengan syarat jaminan garapan sebidang tanah sawah untuk. Surat perjanjian peminjaman uang merupakan acuan resmi tertulis yang dibuat dengan melibatkan kedua belah pihak yaitu pemberi pinjaman dan penerima pinjaman. Misalnya dalam pinjaman uang, meski saling kenal atau bersaudara, tetap menyimpan risiko. Surat perjanjian pengembalian uang umroh. Bogor disebut pihak kesatu telah meminjamkan uang kepada pihak kedua untuk keperluan pengadaan pakaian forum kerukunan umat bersama.

Contoh Surat Perjanjian Pinjaman Wang Dari Syarikat
Contoh Surat Perjanjian Pinjaman Wang Dari Syarikat from gawecv.com
Contoh surat:surat perjanjian pinjaman uangbahwa pada hari ini sabtu, 06 februari 2021, kami yang bertanda tangan di bawah ini setuju mengadakan perjanjian. Yang bertanda tangan di bawah ini : Anda sedang membuka postingan contoh surat perjanjian pinjaman uang yang berada pada kategori contoh surat dengan tag anda dapat melihat dengan jelas contoh surat perjanjian pinjaman uang menggunakan desktop anda, tablet, android atau iphone. Perum kalirejo b/16 dringu probolinggo disebut sebagai pihak kesatu nama : Perjanjian utang dengan jaminan adalah surat perjanjian yang dibuat oleh dua orang (yang meminta utang dan yang memberikan pihak pertama berjanji akan melunasi uang pinjaman kepada pihak kedua dengan tenggang waktu selama 3 (tiga) bulan. Berbeda dengan perjanjian yang dibuat secara tertulis, dimana sudah jelas pasal 3 pihak kedua berjanji akan mmebayar angsuran atas pinjamannya paling lamat tanggal 20 pasal 4 surat perjanjian ini dibuat dan ditanda tangani oleh kedua belah pihak tanpa adanya. Alikosim perum kalirejo b/16 dringu probolinggo trisno widodo perum kalirejo a/12 dringu probolinggo disebut sebagai pihak kesatu disebut sebagai pihak kedua pihak pihak. Selain surat perjanjian pinjaman uang dibuat secara ikhlas dan tanpa paksaan dari siapapun, surat juga wajib mencatumkan kesepakatan secara rinci dan jelas, serta tidak menampilkan poin perjanjian yang bermakna ganda.

Jadi, untuk elakkan masalah macam ni berlaku lagi, seorang peguam telah berkongsi cara untuk membuat surat perjanjian pinjaman dan yang paling penting boleh buat sendiri di rumah.

Yang bertanda tangan di bawah ini na ma. Dan jika anda terlibat dalam proses hutang piutang uang, ada baiknya agar anda menggunakan surat perjanjian hutang piutang. Surat perjanjian pinjaman uang yang bertanda tangan di bawah ini nama alamat nama alamat : Contoh surat perjanjian hutang individual dengan jaminan. Yang bertanda tangan di bawah ini. Misalnya dalam pinjaman uang, meski saling kenal atau bersaudara, tetap menyimpan risiko. Bogor disebut pihak kesatu telah meminjamkan uang kepada pihak kedua untuk keperluan pengadaan pakaian forum kerukunan umat bersama. Anda sedang membuka postingan contoh surat perjanjian pinjaman uang yang berada pada kategori contoh surat dengan tag anda dapat melihat dengan jelas contoh surat perjanjian pinjaman uang menggunakan desktop anda, tablet, android atau iphone. (2) pihak kedua harus membayar uang pinjaman sebesar rp 6.000.000 (enam juta rupiah) kepada pihak pertama pada waktu yang telah disepakati yaitu 13 juli 2013. Berbeda dengan perjanjian yang dibuat secara tertulis, dimana sudah jelas pasal 3 pihak kedua berjanji akan mmebayar angsuran atas pinjamannya paling lamat tanggal 20 pasal 4 surat perjanjian ini dibuat dan ditanda tangani oleh kedua belah pihak tanpa adanya. Sebagai jaminan atas pinjaman seperti tersebut pada pasal 2, maka bpkb milik pihak kedua dijaminkan. Buat surat perjanjian sebelum bagi kawan pinjam duit. Surat ini dibuat agar tidak ada kejadian yang tidak inginkan serta memiliki perlindungan hukum.

Related : Surat Perjanjian Pinjaman Wang / Surat perjanjian pinjaman uang adalah contoh surat yang berlaku apabila kedua belah pihak melakukan perjanjian kerja sama dalam bentuk peminjaman uang..